Aller au contenu

Géoforum est un forum de géologie, minéralogie, paléontologie, volcanologie et, plus généralement, un site dédié aux Sciences de la Terre et au patrimoine géologique. Les discussions s'organisent dans des espaces spécifiques, il existe un forum géologie, un forum minéraux, un forum fossiles, un forum volcans, etc. Une galerie de photos de minéraux ou de roches, de photos de fossiles, ou encore de sites géologiques ou de volcans permet de partager des albums. Il est possible de publier des offres d'emploi de géologue, ou des demandes d'emploi ou stage de géologues. Venez poser vos questions, partager vos connaissances, vivre votre passion !

Quelques-uns des principaux sujets de Géoforum

Bourse aux minéraux et fossiles de Beauvais.
Bourse aux minéraux et fossiles de Beauvais les 28 et 29 mars

Messages recommandés

Posté(e)

Bonjour à tous,

 

Dans ma boite à cailloux, j'ai une autre petite roche à grains un peu plus fins que la précédente et sans foliation a priori ...

OMD56044_1200.thumb.jpg.7160a8fe37a69216d2d17ffe41020d3a.jpg

 

J'y vois des cristaux rose saumon et rose pâle (feldspath ?), noir (biotite ?), blanc opaque (quartz ?) et de la couleur du laiton ! :o

 

OMD56074_1200.thumb.jpg.e2ea30193cb3966daf7425af14b50af5.jpg

 

OMD56078_1200.thumb.jpg.a050315d1a43349b31c33041dfb57da7.jpg

 

OMD56080_1200.thumb.jpg.226917fb625d2fccceff113afe3ef2ca.jpg

 

 

 

Est-ce du granite ? Est-ce du granite rose de la côte du même nom, en BZH ? Sauriez-vous ce que sont ces rares cristaux couleur laiton ?

 

Merci par avance,:sourire:

 

Patrick

Invité jean francois06
Posté(e)

ça a tout l'air d’être un granite.

En rose, les feldspaths potassiques, il y en a beaucoup. En blanc, gris du quartz (y en a pas mal aussi),  des feldspaths blancs aussi. En noir, amphibole, hornblende et biotite et ce qui a des reflets laitons comme tu dis, c'est  un mica, muscovite ou des reflets sur biotite. Pas d'aspect folié, texture équante.

 

 

Posté(e)

De nouveau, Très Grand Merci pour tes infos !! :sourire:

 

Pour les cristaux en noir, tu dis qu'il y a ici présence ou bien qu'il y a possibilité de présence (à cause du noir) de

 

Citation

amphibole, hornblende et biotite

 

?

 

Autrement dit, on peut arriver à distinguer à l’œil nu ces 3 minéraux dans ce bout de roche ? Avec de l'expérience et/ou avec des expériences (tests) faciles et complémentaires ?

 

 

Enfin, j'ai trouvé deux définitions (wikipédia) pour le terme équante :

 

Citation

une texture dans laquelle les cristaux n'ont pas d'orientation préférentielle.

 

ou bien

 

Citation

une roche qualifiée d'équante comprend des minéraux qui ont tous environ la même taille

 

 

Ici c'est la taille des minéraux que tu visais ?

 

 

Encore Merci !! :sourire:

Invité jean francois06
Posté(e)
il y a une heure, pat_der2003 a dit :

 

 

Pour les cristaux en noir, tu dis qu'il y a ici présence ou bien qu'il y a possibilité de présence (à cause du noir) de""?

Je me suis mal exprimé, 2 minéraux noirs, il me semble voir de l'amphibole: Hornblende et des micas noirs : Biotites.

Pour le test, une aiguille, et tu teste pour voir si tu arrives à dégager des feuillets, si c'est le cas biotites sinon amphiboles. Par exemple, deuxième photo,

176801880_Captureavoir.thumb.JPG.c5f5bcaca929b91dcc36c15801c16c0e.JPG

 

 

Enfin, j'ai trouvé deux définitions (wikipédia) pour le terme équante :

J'ai mis équante en texture par opposition au gneiss que tu présentais à texture granolépidoblastique, donc ici équante pas d'orientation préférentielle

 

 

Posté(e)

Sur le wikipédia anglais on peut lire ceci  pour la hornblende :

 

Citation

It is not a recognized mineral in its own right, but the name is used as a general or field term, to refer to a dark amphibole.

The general formula can be given as (Ca,Na)2–3(Mg,Fe,Al)5(Al,Si)8O22(OH,F)2

 

 

soit en traduction automatique :

 

Citation

Ce n'est pas un minéral reconnu en soi, mais le nom est utilisé comme terme général ou de terrain, pour désigner une amphibole sombre.

La formule générale peut être donnée comme suit : (Ca,Na)2-3(Mg,Fe,Al)5(Al,Si)8O22(OH,F)2

 

Question relative à la formule chimique : quand j'ai des atomes entre parenthèse et séparés par un virgule, ce sont des alternatives ?

 

exemple : Ca ou Na dans cette partie de formule (Ca,Na)... ? Et non pas Ca et Na ?

 

Merci par avance ! :sourire:

 

Patrick

Posté(e)

Wikipedia n'est et ne sera décidément jamais une référence en minéralogie (en géol on peut aussi se poser la question ! ;)) en français ou en anglais ça ne change pas grand chose !
"hornblende" est un terme qui désigne une amphibole indéterminée, généralement la ferro-hornblende ou la magnesio-hornblende. Il est aussi utilisé comme nom de groupe pour les amphiboles alumineuses du sous groupe des amphiboles calciques ... pour simplifier ! :P
Les formules de ces deux amphiboles sont pour la ferro-hornblende ◻Ca2(Fe2+4Al)(Si7Al)O22(OH)2 et pour la magnesio-hornblende ◻Ca2(Mg4Al)(Si7Al)O22(OH)2
Pas de sodium là dedans (qui provient en fait de la formule générale des amphiboles) mais un remplacement total de Fe par Mg
Quant à la formule chimique (Ca, Na) signifie : Ca, Na ou les deux ; la proportion relative est souvent indiqué si c'est pertinent (mais que sur les bons sites de minéralogie :mortderire: )

 

Posté(e)

Ah, je souhaitais du précis ... et c'est du précis !! ;)

 

Je conserve cette définition pour l'instant :

 

Citation

"hornblende" est un terme qui désigne une amphibole indéterminée, généralement la ferro-hornblende ou la magnesio-hornblende.

 

car je ne perçois pas bien le sens de la phrase qui suit ... par ignorance s'entend ! 

 

Tout Grand Merci  !! :geoforum:

 

 

Invité jean francois06
Posté(e)
Il y a 4 heures, pat_der2003 a dit :

 

Question relative à la formule chimique : quand j'ai des atomes entre parenthèse et séparés par un virgule, ce sont des alternatives ?

 

exemple : Ca ou Na dans cette partie de formule (Ca,Na)... ? Et non pas Ca et Na ?

 

Merci par avance ! :sourire:

 

Patrick

Les deux, c'est "et et "ou". 

En ce qui concerne la formule chimique du groupe hornblende, ce que tu as trouvé sur Wikipédia n'est pas faux. on peut trouver cette formule de partout comme dans "Les minéraux" de P. Bariand, F. Cesbron, J. Geffroy, tome 1 édition du BRGM. Il y a aussi une définition de Hornblende Sensu stricto, sans Na donnée par Steff4412, comme on le voit sur la figure ci dessous du site  :www.alexstrekeisen.it

 

Exemple pour les amphiboles sodi-calciques

W2-3(X,Y)5(SiAl)8O22(OH,F)2 avec W=Ca, Na ou K, X=Mg, Fe2+, Mn2+ et Y =Al, Fe3+,Ti.

Exemple pour le groupe des Hornblendes :

(Ca, Na, K)2-3(Mg,Fe2+,Fe3+,Al)5[Si6(Al,Si)2O22](OH,F)2

Un exemple

Edenite : NaCa2Mg5(Si7AlO22)(OH,F)2

 

 

Voici ce qu'en dit ce site : https://www.alexstrekeisen.it/english/vulc/amphiboles.php

 

The most common amphibole, hornblende, has very variable composition owing to significant substitution of Na+ and K+ in A site and Fe3+ and Al3+ in M 1-2-3 sites. Hornblende is the result of two main substitutions starting from tremolite: Si4+ + (Mg2+,Fe2+) ↔ 2Al3+, and Si4+ + ↔ A-site ↔ Al3+ + (Na+,K+). Hornblende includes following series: magnesiohornblende-ferrohornblende, tschermakite-ferrotschermakite, edenite-ferroedenite, pargasite-ferropargasite, and magnesiohastingsite-hastingsite. One way of classifying hornblende is to consider the A-site occupancy and the amount of Si in the T-site (Fig.2). In the diagram below yellow shows the range of observed composition with orange indicating the more abundant ones (Hb = hornblende (sensu stricto), Ts = tschermakite, Ed = edenite, and Pa = pargasite).

 

1411001735_Capturehornblendegroup.JPG.7b99d89095a4953aa5057c7da88d5243.JPG

 

Posté(e)

Re,

 

J'ai procédé au test de l'aiguille et je vois des feuillets se détacher plutôt que de petits morceaux polygonaux.

 

Si j'ai bien compris, voici de la muscovite :

2020-11-13-12.thumb.jpg.afae7e032a6fdc2f7e506ffa505e7d77.jpg

 

 

Et pour ces deux petits morceaux, qui semblaient sombre à la découpe, est-ce bien de la biotite malgré les plis jaune laiton ?

2020-11-13-13_06.thumb.jpg.6c2424e55e0783f76034072125c9a5a9.jpg

2020-11-13-13_11.thumb.jpg.f632910207f75f8cd7c8d6f2bb940e4c.jpg

 

Merci par avance,

 

Patrick

 

Invité jean francois06
Posté(e)

A partir de ces photos difficile à dire. Plutôt tout en biotite. Et si tu cherches sur le net, tu verras que biotite correspond à un groupe de minéraux dans lequel le rapport Mg/Fe est inférieur à 2/1.   K2(Fe,Mg)6(Al2Si6O20)(OH,F)4

Si tu vois des éclats blancs argentés, des feuillets minces incolores, alors c'est muscovite.

 

Posté(e)

Pour revenir sur "la" hornblende: l'IMA ne connait pas ce nom mais reconnait la ferro-hornblende avec la formule suivante: Ca2 (Fe2+ 4Al)(Si7Al)O22(OH)2. Pas de Na. Idem pour la magnésio-hornblende.

Le Silicium est en quantité fixe: 7

Formule Strekeisen pour les hornblendes: (Ca, Na, K)2-3(Mg,Fe2+,Fe3+,Al)5[Si6(Al,Si)2O22](OH,F)2. 

Avec du Na!  En contradiction avec l'IMA  et Si peut varier entre 6 et 8.

Formule Strekeisen et IMA pour l'edenite: NaCa2Mg5(Si7AlO22)(OH,F)

Si est fixé à 7. Mais le diagramme montre que pour l'edenite comme pour les hornblendes Si peut varier de 6,5 à 7,5...

Formule IMA pour la trémolite: Ca 2 (Mg5.0-4.5Fe2+ 0.0-0.5)Si 8 O22(OH) 2. Pas de Na ni de K. Que fait alors la trémolite dans un diagramme avec un axe en Na+K?

Strekeisen et l'IMA pas très copains, on dirait.

 

Invité jean francois06
Posté(e)
il y a 48 minutes, jjnom a dit :

 

Formule IMA pour la trémolite: Ca 2 (Mg5.0-4.5Fe2+ 0.0-0.5)Si 8 O22(OH) 2. Pas de Na ni de K. Que fait alors la trémolite dans un diagramme avec un axe en Na+K?

Strekeisen et l'IMA pas très copains, on dirait.

 

Ils sont d'accord en fait, juste une question de Sensu stricto.

653913564_Capturetremolite.JPG.55d2a6d8f5dd4a7806073aa5831e289b.JPG

Je rajoute cette thèse avec des analyses https://tel.archives-ouvertes.fr/tel-00814192/document

 

731029961_tremolite2.JPG.b2acadd819a9063a4ce45577051ed85b.JPG

540033908_tremolite3.JPG.9781d7956313a6c8e0351f9a0427d690.JPG

Ici on parle de formule idéale, mais la nature fait dans la subtilité.

 

 

Posté(e)
Il y a 8 heures, Stef4412 a dit :

Wikipedia n'est et ne sera décidément jamais une référence en minéralogie (en géol on peut aussi se poser la question ! ;)) en français ou en anglais ça ne change pas grand chose !

Wikipédia étant un site participatif ouvert à tous, il ne faut pas hésiter à y participer pour l'améliorer s'il y a des lacunes.

 

Quand il est écrit sur Wikipédia que l'hornblende n'est pas un minéral au sens strict, c'est parce qu'il ne s'agit pas en effet d'une espèce minérale, c'est une solution solide, un ensemble de minéraux ayant les mêmes caractéristiques cristallo-chimiques où la quantité en certains éléments varie sur des sites cristallographiques précis, le tout à l'état solide.

Invité jean francois06
Posté(e)
il y a 20 minutes, Géolynx a dit :

Wikipédia étant un site participatif ouvert à tous, il ne faut pas hésiter à y participer pour l'améliorer s'il y a des lacunes.

 

Quand il est écrit sur Wikipédia que l'hornblende n'est pas un minéral au sens strict, c'est parce qu'il ne s'agit pas en effet d'une espèce minérale, c'est une solution solide, un ensemble de minéraux ayant les mêmes caractéristiques cristallo-chimiques où la quantité en certains éléments varie sur des sites cristallographiques précis, le tout à l'état solide.

De plus wikipédia donne normalement des sources, références etc.. c'est un départ pour une recherche plus approfondie. Il y a aussi un onglet discussion, à voir aussi.

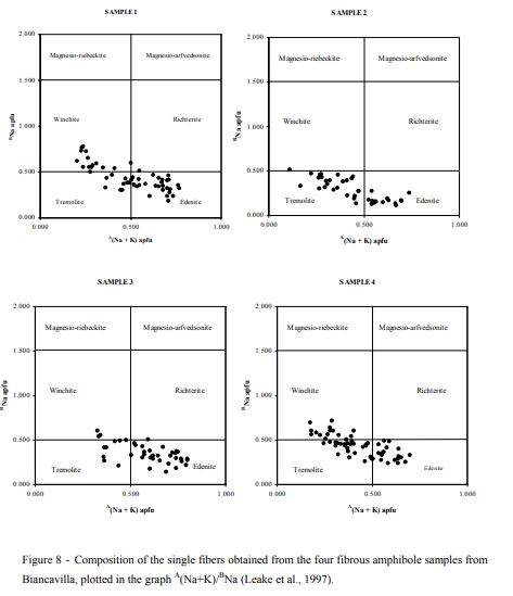
J' en reviens à la trémolite pour cette histoire de sens strict, formule idéale, toujours issue de la thèse citée au-dessus:

1789388019_Captureamphibolefib.JPG.3b6635b30ada85d33b2236799227cbdd.JPG

On voit bien sur ces graphiques, les fibres de trémolites, jamais avec 0 (Na +K), et que penser des points sur la limite des 0.5...

 

Nota bene pour pat_der2003c'est sans rapport avec les hornblendes que je supposais possible dans l'échantillon, j'y voyais des Hornblendes au sens strict.

Posté(e)

Bah... c'est surtout qu'il faut se méfier des formules.

 Dans le premier exemple de JF, on trouve ceci: 

741153065_Trmolite.JPG.8d9ef257d7b229a0956e2f5042a40ca1.JPG

Ce sont les formules complètes des 2 trémolites analysées.

Par rapport à la formule "officielle", tous les atomes en faible quantité sont absents mais on remarque qu'il y a dans la réalité des substitutions de Si par Al. Comme Al est inférieur à ...???, on affiche Si8 mais la réalité est (Si8-x, Alx).

Même remarque pour Ca,Na,K tous 3 présents.

Et donc écrire (Ca, Na, K) pour une hornblende n'est pas une erreur sauf qu'on ne dit pas que Na et K sont très minoritaires devant Ca.

Il doit y avoir des règles côté IMA pour décider d'afficher un atome sous une forme comme celle-ci: (Mg5.0-4.5Fe2+ 0.0-0.5) ou de ne pas le faire apparaitre.

Elles ne me semblent pas bien intuitives.

Invité jean francois06
Posté(e)
il y a une heure, jjnom a dit :

 

Et donc écrire (Ca, Na, K) pour une hornblende n'est pas une erreur sauf qu'on ne dit pas que Na et K sont très minoritaires devant Ca.

Il doit y avoir des règles côté IMA pour décider d'afficher un atome sous une forme comme celle-ci: (Mg5.0-4.5Fe2+ 0.0-0.5) ou de ne pas le faire apparaitre.

Elles ne me semblent pas bien intuitives.

Ben, oui, c'est pour ça qu'il y a un groupe des hornblendes, et des hornblendes au sens strict, cela n’empêche pas la présence en petite quantité voire infime de différents éléments.

L ima s'occupe de la formule idéale.

Posté(e)
Citation

Wikipédia étant un site participatif ouvert à tous, il ne faut pas hésiter à y participer pour l'améliorer s'il y a des lacunes.

 

Je l'ai déjà fait mais après avoir corrigé des erreurs une semaine après elles étaient revenues ... j'ai laissé tombé, pas que ça à f...

Mindat est dans le même cas mais bénéficie de plus de contrôles de gens au courant, du coup il y a moins d'erreurs

 

Citation

Quand il est écrit sur Wikipédia que l'hornblende n'est pas un minéral au sens strict, c'est parce qu'il ne s'agit pas en effet d'une espèce minérale, c'est une solution solide, un ensemble de minéraux ayant les mêmes caractéristiques cristallo-chimiques où la quantité en certains éléments varie sur des sites cristallographiques précis, le tout à l'état solide

 

 

Il semblerait que ce soit faux, que ce ne soit pas une série solide continue (au moins pas entre tous ceux cités dans wikipedia) mais un nom générique "Hornblende root name group" 

 

Citation

wikipédia donne normalement des sources, références etc.. 


Et bien là elles sont bien ... maigres

 

Citation

 

The hornblende root name is in a mineralogical sense as amphiboles in the calcium amphibole subgroup with A(Na+K+2Ca)≤0,5 apfu and 0,5≤Z(Al + Fe3+ +2Ti)≤1,5 apfu. The individual members of the group are defined by it's dominant elements in the Z and W positions

Z2+ position (= IMA C2+ position): Mg or Fe2+
Z3+ position (= IMA C3+ position): Al or Fe3+
W position: (OH) or F

...


The hornblende root name is an IMA-CNMNC defined amphibole root-name with strict chemical boundaries. it should not be confused with the more loosely defined "hornblende", which is a term used by petrologists and mineral collectors for any black undefined amphibole in the calcium ( and sometimes in the sodium-calcium) subgroups.

 

En revanche j'ai trouvé ça bien intéressant par ailleurs ...

Posté(e)
Il y a 13 heures, jean francois06 a dit :

il y a un groupe des hornblendes, et des hornblendes au sens strict, cela n’empêche pas la présence en petite quantité voire infime de différents éléments.

C'est ça.

Une formule comme Ca2 (Fe2+ 4Al)(Si7Al)O22(OH)2 correspond à un cas très particulier (sans K, sans Na, Si pile poil à 7, ..) à l'intérieur du champ des hornblendes, lui-même à l'intérieur du champ(représenté par le diagramme du site de Strekeisen) des amphiboles calciques dont la formule est 

(Ca, Na, K)2-3(Mg,Fe2+,Fe3+,Al)5[Si6(Al,Si)2O22](OH,F)2. 

Wikipedia donne les formules des cas particuliers (espèces IMA) pour edenite ou trémolite mais la formule donnée pour hornblende est celle des amphiboles calciques car considérant que l'edenite, par exemple, est une hornblende. C'est là qu'il y a un souci. Mindat propose une classification en accord avec le diagramme du site de Strekeisen.

Invité jean francois06
Posté(e)

Voici des les, celui de L'IMA :

901252511_ferrohornblende.thumb.JPG.1c2413c742acb9c43bf350365de9c555.JPG

 

https://rruff.info/ima/

 

De l'article cité comme référence https://www.researchgate.net/publication/216831518_Nomenclature_of_amphiboles_Report_of_the_Subcommittee_on_Amphiboles_of_the_International_Mineralogical_Association_Commission_on_New_Minerals_and_Mineral_Names

 

701141061_Captureamphc.thumb.JPG.a0906c029e253bcbaaf38a14af673bc0.JPG

 

Dans l'article on voit que les limites bougent, il s'agit de conventions autour des formules idéales.

Quand au mot hornblende, et bien l'IMA accepte son emploi pour les amphiboles calciques, et pour le sens strict on met un préfixe.

1363999850_Capturehfh.JPG.322c3911d979f13d768f8337bfc11387.JPG

@pat_der2003 désolé pour toutes ces digressions, sur ton granite dont on est pas sur qu'il contienne des hornblendes.

 

 

 

 

Posté(e)
Il y a 12 heures, jean francois06 a dit :

(...) Quand au mot hornblende, et bien l'IMA accepte son emploi pour les amphiboles calciques, et pour le sens strict on met un préfixe.

1363999850_Capturehfh.JPG.322c3911d979f13d768f8337bfc11387.JPG

 

Il y a 12 heures, jean francois06 a dit :

@pat_der2003 désolé pour toutes ces digressions, sur ton granite dont on est pas sur qu'il contienne des hornblendes.

 

 

 

 

 

 

Pas d'soucis ! C'est plutôt intéressant : je découvre plein de choses ... même si je ne comprends pas tout ! :sourire:

 

 

 

Le 13/11/2020 à 16:07, jean francois06 a dit :

A partir de ces photos difficile à dire. Plutôt tout en biotite. Et si tu cherches sur le net, tu verras que biotite correspond à un groupe de minéraux dans lequel le rapport Mg/Fe est inférieur à 2/1.   K2(Fe,Mg)6(Al2Si6O20)(OH,F)4

Si tu vois des éclats blancs argentés, des feuillets minces incolores, alors c'est muscovite.

 

 

Donc pour les micas du caillou posté ici, on est plutôt sur de la biotite, de nouveau terme générique ou tout au moins qui regroupe plusieurs minéraux ...

 

Pour la muscovite, je me rappelle en Ardèche, dans ma jeunesse, de cristaux blanc jaunâtre en épaisseur et translucides en feuillets, qui se détachaient en fines lamelles et qui accrochaient les rayons du soleil, devenant très brillants ...

 

Rejoindre le sujet et participer

Pour poster un message, il faut créer un compte membre. Si vous avez un compte membre, connectez-vous maintenant pour publier dans ce sujet.

Invité
Répondre à ce sujet…

×   Collé en tant que texte enrichi.   Restaurer la mise en forme

  Seulement 75 émoticônes maximum sont autorisées.

×   Votre lien a été automatiquement intégré.   Afficher plutôt comme un lien

×   Votre contenu précédent a été rétabli.   Vider l’éditeur

×   Vous ne pouvez pas directement coller des images. Envoyez-les depuis votre ordinateur ou insérez-les depuis une URL.

×
×
  • Créer...